鉅大鋰電 | 點擊量:0次 | 2019年05月31日
燃料電池催化劑的設計
設計高活性定性的電催化劑,一直是燃料電池的主要目標之一。在電催化劑的設計中,必須要注意一些特殊情況,比如氧還原反應緩慢的動力學、納米顆粒固有的結構不穩定性、以及在嚴酷電化學條件下的電位等。現如今,形形色色的電催化劑層出不窮,如何快速篩選并優化出最佳至關重要。有鑒于此,韓國延世大學ByungchanHan等在《CurrentOpinioninElectrochemistry》期刊上發表綜述文章,介紹了近年來第一原理計算方法在質子交換膜燃料電池電催化劑設計中的一些進展,包括電催化活性和電化學穩定性,為尋找更優異的質子交換膜燃料電池催化劑打下堅實的基礎。作者認為,只有保持創新思維,才能有效突破。
【文章背景】
燃料電池是一種電化學系統,可以將儲存在燃料中的能量直接轉化為電能,與鋰電池不同的是,燃料電池可以在燃料供應的情況下持續發電,這對汽車的長距離行駛非常有益。質子交換膜(PEM)燃料電池的關鍵電化學反應如式(1)所示,其中氫氣和氧氣反應,最終產生水和電:

理論上,燃料電池能量轉換效率沒有限制,但實際上,由于存在大量的活化能壘,電化學反應動力學特別緩慢,特別是ORR反應。因此,必須使用電催化劑來促進電化學反應。毫無疑問,ORR高性能電催化劑的研發是目前催化領域最熱門的方向之一,即便是傳統上被稱為最佳催化劑的鉑,其ORR效率和材料成本也不完全符合工業標準。因此,質子交換膜燃料電池電催化劑的關鍵問題是如何以更高的效率、更低的價格和更穩定的催化活性來替代Pt,盡管許多實驗、理論模型和計算的前沿領域進行了詳盡的研究,但仍沒有商業化催化劑能與鉑媲美。
在本文中,韓國延世大學ByungchanHan等簡要回顧了基于第一原理的計算對PEM燃料電池的研究進展,作者認為要討論的關鍵問題是:(i)許多電催化劑通常是納米級別的,在相互團聚的情況下,其熱力學變得很不穩定;(ii)燃料電池的電催化劑通常會暴露于一些極端條件下,這可能會降低催化劑的結構穩定性;(iii)應制定快速、準確的形式或方法,以分析從實驗和計算結果中積累的大數據,快速評估替代電催化劑的催化活性。
【文章詳情】
一、預測催化劑的結構和穩定性

第一性原理中的密度泛函理論(DFT)計算,現已廣泛應用于預測各種分子、納米粒子和散裝材料在真空條件下的基態結構,如上圖1a-c所示,與實驗結果的一致性足以證明DFT計算的準確性。然而,考慮到PEM燃料電池中的電催化劑會暴露于非真空溶液中,因此需要采用更恰當的形式來正確地引入變量。
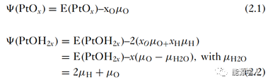
巨正則電位是開放系統內能發生物質交換的Legendre變換函數,在描述催化劑的活性時非常有用,例如,PtOx和Pt(OH)2x催化劑的巨正則電位(Ψ)可以由下式確定:

上式中E是通過DFT計算得到的內能,如圖1d所示,巨正則電位的應用可以捕獲基態結構,作為氧化學勢μo的函數。
對于燃料電池中的電化學反應而言,鉑納米催化劑的Pourbaix圖可以通過已知的能斯特方程算出:

上式中OX和Red分別代表納米顆粒的高氧化態和低氧化態,如圖1e所示,鉑納米粒子的相穩定性可由水溶液的電位和酸堿度來表示。
二、評估催化性能
評估電催化劑的熱力學性能,首先應準確評估電化學反應的吉布斯自由能(ΔG),一般來說,ΔG由反應焓和熵組成。在電化學反應中,ΔG還取決于水溶液的電位和酸堿度。對于給定的酸堿度,熱力學上的起始電位應該其相對于SHE的最高電位,在這個電位下,所有的電化學反應都會進行。DFT計算可以評估典型吸附氣體的內能(ΔE)、零點能量校正(ΔZPE)以及熵(ΔS)變化,如下式所示:


上圖2a,b為立方八面體鉑納米粒子ORR的吉布斯自由能圖,結果表明,催化劑的起始電位與表面形貌以及反應中間體密切相關。對于性能而言,只有Pt(111)晶面更好,尤其是單晶。該方法適用于任何純催化劑或合金催化劑,例如,圖2c中顯示了六方鈣鈦礦BaNiO3的ORR催化性能,如圖所示,DFT可以通過優化材料結構(形態和組成)以獲得所需的最佳催化性能。
在過去的十年中,Norskov提出的電子結構模型,即所謂的“火山圖”,已被廣泛用于識別最佳ORR催化劑,該理論確定了ORR的關鍵描述符——氧吸附能(ΔEO)作為控制參數(圖2d)。優化ΔEO,對設計高效的鉑替代催化劑具有重要意義。值得注意的是,很多文章里描述的催化劑都沒有在市場上成功地商業化,主要問題不是催化活性,而是催化劑穩定的結構完整性,這意味著電子結構計算更廣泛的應用。
三、催化劑設計策略
最近,電催化劑設計時的創新點,是克服其在PEM燃料電池中的長期穩定性問題,該方法的目的不僅在于控制核心金屬的表面偏析,還在于通過氮摻雜碳(N-C)殼封裝來調節氧的吸附強度。首先,利用第一性原理DFT計算,驗證Pt-M核殼納米顆粒在真空條件下是熱動力學穩定的,如圖2e所示。然后用幾個氮碳原子層包圍核殼納米顆粒,優化氧吸附能,根據ORR的火山圖,可以對封裝的納米顆粒進行優化,使其具有最佳的氧吸附能。此外,還可以評估納米顆粒在非中性pH水溶液中的電化學溶解電位。在ORR活性和電化學穩定性方面,廣泛但高通量的計算篩選導致對可替代催化劑的快速捕獲,如圖2f所示。

另一種對于氧氣或氫氣氧化還原的電催化劑,是二維過渡金屬二硫族化物(2D-TMD),由S或Se與過渡金屬組成。以前,人們主要研究激活析氫反應(HER)材料的邊緣位置或缺陷,然而,Noh等人證明,通過適當地設計異質界面,將兩個不同的二維TMDs復合,可以帶寬,加強催化作用。如圖3所示,作者通過篩選256種不同的2D-TMDs組合,確定最佳催化劑為NbS2。

另一個值得注意的催化劑是界面調控,即非晶態/晶體材料。如圖4所示,例如,CoP@PS/NCNT核殼材料,PS的非晶態外殼有利于控制氫與鈷金屬之間的相互作用,從而增強了HER的活性。
【文章結論】
在本文中,作者簡要總結了基于第一性原理計算,來評估燃料電池的電催化性能的進展。自從火山曲線出現以來,燃料電池領域10多年前仍然沒有任何商業化催化劑以替代傳統貴金屬鉑。因此,為了打破僵局,縮減研發成本,利用好計算是關鍵。從本質上說,應該開發一個統一的計算平臺,能夠快速分析實驗,并且積累到材料信息學的大數據庫中,以識別關鍵描述符和設計原則。值得注意的是,有幾個課題組已經開始向這個方向出發,這是非常有趣的。
下一篇:新能源車的電池壽命有多長呢










